为应对全球气候变化,提倡减少人类生产、生活活动中温室气体的排放已蔚然形成国际趋势。而城市作为人类活动的主要场所,其运行过程消耗了大量的化石能源。城市中的“小区”是承载人口最重要的基本单元,因此建设“低碳小区”就成为建设低碳城市的关键之一。建构低碳小区的方式有:(1)建造节能建筑;(2)利用新能源;(3)采用环保材料;(4)优化小区结构;(5)倡导绿色交通;(6)倡导公众参与等[1]。
国外低碳小区建设的成功案例有英国贝丁顿零能源消耗小区、德国的佛班可持续小区、瑞典的韦克舍绿色城市等。台湾地区于2009年第三次能源会议提出10年打造“低碳家园”具体期程,逐年推动以“环境绿化、建筑节能、绿色交通、资源循环、能源再生、生态保育”为目标的低碳小区,期望 “小区”能以最小自治执行单位对社会产生感染的正面效果。
一个破灭小区的重生
某小区目前有97户,约350人,多为四口之家,中壮年约50%,儿童约30%,老年约20%,位于台湾新北市,是地上九层、地下二层的钢筋混凝土结构建筑,兴建于1995年,1998年取得使用执照,但因种种因素,建商未依建筑法规给予小区应有的设备及交屋前的瑕疵改善,小区管理委员会只能自力救济,在1998年至2003年间几乎花尽小区经费,导致小区濒临破产,而小区住户对此只有失望及冷默。庆幸小区管委会主委不愿自己半生积蓄付之流水,最后决定以“环保”及“绿建筑”两项议题重新出发,一方面希望藉此可以减少小区的公共支出,一方面也可能申请官方的经费补助。为扩大住户的参与感,也经2/3以上住户同意,管委会委员从5人扩充至15人,并且号召具有专长及技术的热心居民,开使以最少的经费、最低廉的设备,完成一系列的小区营造工程,并积极推动住户的再教育。在2001年至2002年间,进行一连串的减碳计划,总计减碳约139公吨,包括改造楼梯间及更换小区公共照明为LED灯并进行节电管理;设立1,500W风力发电机及850W太阳能光电板;推动厨余及废油再利用,制成有机肥、香皂、清洁剂等,甚至制成生物柴油作为小区预备发电机用油;屋顶设立雨水再利用系统、植栽绿化并设立有机菜园,灌溉及施肥即来自雨水与厨余,除了解决顶楼闷热问题,同时促进居民互动,更凝聚人心,促进团结。管委会找回住户的信心,也唤回住户的参与,成为低碳示范小区,其管委会主任委员也成为新北市推动低碳小区最得力的规划师,2011年获邀领取“气候变迁会议COP17全球永续发展英雄奖”并发表演说分享其成功经验。
推动低碳小区的困境
上述是一个成功的案例,但是整体而言,这种案例却不多。自从1995年开始推动绿建筑政策,1999年推动绿建筑标章认证,根据台湾建筑中心统计资料,至2012年5月止,总计获得绿建筑标章的建筑有841个,获得绿建筑候选认证的建筑有2,571个,相当于减少72万吨二氧化碳排放,然而更进一步分析发现这些绿建筑大部分为公有,属于私人的只有13%。另一方面,台湾当局2010年调查发现53%的受访者满意行政部门在推动更新旧建筑成为符合EEWH(节能、生态、减废、健康)标准的绿建筑所做的努力,84%受访者认为他们在日常生活中时常节能减碳。从调查结果看来,大部分的民众愿意并且期待低碳生活。以上数据显示,尽管官方补助奖励小区进行绿建筑改造,民众也有意愿低碳生活,然而真正进行的却不多。问题的症结到底在哪里?
活动理论分析
为进一步了解推广低碳小区的成功因素,我们以活动理论(activity theory)对上述小区进行分析,画出其活动系统图(如图1)。活动的主体是该小区居民,目标是透过“环保”与“绿建筑”改造让小区重生,而最终成果则是将小区改造成低碳小区。为了达成目标,小区管委会以居民再教育及申请官方补助作为协助主体完成目标的工具,并组成了学习社群。这个社群的主要成员是管委会委员及自愿参加的小区民众,主要领导是主任委员,是计划的规划者。为了让社群达成目标,对社群成员分工并成立推广团队,利用同侪的影响力,扩大居民参与度。而主体(居民)与社群之间,以规则作为规范与连接,利用管理规则及管委会与居民的共识凝聚向心力。其中规则、社群、分工最重要的就是管委会,而其灵魂人物就是主任委员。由此可见影响低碳小区成功与否的最重要因素是小区管委会主委,其次是小区管委会,而官方政策与推广教学可促进目标的达成。

图1 新北市低碳示范小区活动系统
通过对小区居民进行“绿建筑素养调查(包括知识、态度与责任感及行为意愿)”发现,该样本小区在知识与行为意愿方面的得分与其他小区并无显著差异,该小区居民再教育并未达成预期的目的。这个结果显示居民与教学、教学与目标之间存在矛盾,有些居民不愿意参加教学,而教学也不一定能提升行为意愿。所以必须重新思考:怎样的教学内容及教学策略才能吸引居民参与,有助目标达成。另一方面,经由居民访谈,我们认为经济因素,例如电费负担降低及官方补助才是主要诱因。该小区的成功应归功于一位热忱的管委会主委,领导一群具有专长的、热心居民公共事务的推广团队,并应用经济诱因作为有力的策略。
结构方程模式分析
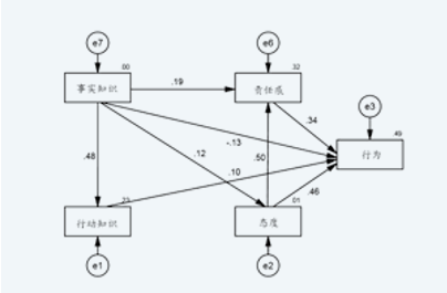
居民再教育果真没有效果?虽然许多环境教育的调查研究也发现,环境知识教育并不影响其环境行为。我们希望能从755位小区居民的绿建筑素养调查中得到答案。初步统计分析获得与环境教育研究相同的结果,也就是有关绿建筑的知识与居民低碳行为意愿无关。我们利用结构方程模式的技术进一步分析(如图2-1),结果发现影响行为最重要的因素是态度与责任感,如果将知识分为事实知识(或记忆性知识)与行动知识(采取行动所需的知识),则发现行动知识对行为有正面的直接影响,而事实知识对行为则是负面的直接影响,必须透过态度与责任感的正面影响来平衡,这也难怪知识与行为无关。如果考虑居民的新生态典范观(如图2-2),发现原来事实知识与责任感及态度的关系来自于其新生态典范观的媒介,越倾向新生态典范观者,其行为意愿越高。所谓的“新生态典范观”是指居民的生态世界观,“新生态典范观”是相对于以人类利益为中心的传统生态世界观,前者主张地球上的生物在地球生态的地位一样重要,地球资源有限,地球生态是一个精妙的平衡系统,要整体考虑,而不是以人类利益优先,如此才能永续发展。

图2-1 民众的绿建筑素养结构方程模式

图2-2 民众的绿建筑素养结构方程模式
因此低碳小区的居民推广教学不应只是知识的传递,更应重视态度与责任感的培养,在课程中更应视机融入新生态典范观的熏陶,教导民众如何采取行动、技能、知识,加强民众的积极态度与行为意愿[2]。我们认为问题导向学习策略可符合加强民众行动知识与技能的目标,如果以居民面临的真实问题来教学,则更能发挥即学即用的功效,提升居民的行动力和行为表现。
建立低碳小区推广策略
基于以上讨论提出低碳小区教育推广的行动模式,并在桃园县某小区进行第一循环测试,第二循环测试则选择在都市中型小区[3]。最后修正后的模式如图3,此行动模式分计划、行动、评鉴、追踪四个阶段,包含五个重要步骤:(1)小区协商;(2)教育训练;(3)提出小区改善建议书; (4)协助小区进行建筑物改造;(5)追踪评估成效。
在行动研究循环的计划阶段,首先经由居家建筑诊断及居民协商,找出居住生活环境的问题,作为行动阶段时问题导向学习的真实问题,并纳入专家小组的问题解决建议来拟订课程内容。初步拟订下列六套包含教材与便携式教具的教学模块:(1)节能减碳:为何要绿建筑?(2)通风:窗户要怎么开?(3)绝热:要怎样隔绝户外的热浪?(4)遮阳:要怎样阻挡炙热的阳光?(5)自然照明:要怎样利用自然光?(6)节能小提示:怎样选择节能灯具及节能电器?第一循环的自愿参加者每周六晚上课90分钟,每次一单元,共6次,并配合动手做活动以提升参与居民解决问题的知识与技能。第二循环时,根据第一循环参与居民的回馈及研究团队的反思,配合小区建筑诊断结果修订教学模块,并因应上一循环的反应将教学时间浓缩为3次,每次120分钟二个单元,加强新生态典范观的熏陶。

图3 低碳小区教育推广模式
根据问卷进行基本资料分析,一般而言,乡村型小区的社经地位相对低于都市小区,但是前者较愿意参与推广教学,而且更愿意依据专家小组的建议改善住屋;后者的参与者主要是小区管理委员会委员,除非获得大部分小区居民的同意,否则不太愿意采取行动。而最受居民认同的是对流通风的改善,乡村型小区已进行自然通风改善,而都市型小区则计划进行机械通风改善,根据建筑环境仿真软件的估算,此举可降低室温1-3摄氏度。而降低小区公共用电支出,也获得两小区居民的高度共识。对于节电方法,居民着眼于经济利益更甚于道德观,他们最关心的是节能灯泡的售价是否能在短期内回收。最困难的行动是屋顶隔热以及遮阳板的安装,因为这些行动可能违反建筑法规。
以活动理论分析两个案例小区,显示居民(主体)和教学(工具)间仍存在矛盾,以教学作为主体与目标间的媒介,然而如果居民不愿参加推广课程,则就不能发挥协助居民达成目标的效果,都市型小区的控制组即显示出这样的结果。在第二循环中,我们采用两组前后测实验设计,自愿的实验组(6位居民)接受6小时真实问题导向学习课程,控制组(10位居民)则未接受任何学习课程。结果显示实验组表现优于控制组,且实验组在后测问卷的得分均高于前测,其中知识分量表的得分呈小效果量(effect size d= 0.21),在态度及责任感部分为中效果量(d=0.55),在行为意愿部分为大效果量(d=0.96);而控制组的知识量表前测得分高于实验组,各分量表在后测中没有进步,分数甚至呈现小幅度下降。在新生态典范观上两组均有增加,但控制组(d=0.46)比实验组(d=0.30)更为正向。这个结果指出知识得分较高的居民其行为意愿较低,也较没有意愿参与推广教学,同时也显示自愿参与者具有更正向的新生态典范观。
结论
有关环境素养的研究指出,事实知识不能强化学习者对环境议题的态度及行为意愿,而真正有影响的是环境议题的行动知识。我们的研究也有同样的发现,影响低碳行为最重要的因素是居民的态度与责任感,一旦居民的正向态度与责任感提升,知识对行为意愿的影响也会提升。新生态典范观则是知识与情意(态度及责任感)的媒介,而知识中最重要的是采取行动所需的知识和技能,而事实知识则需透过行动及设计技能知识才能发挥作用。鉴于此,推广模式的教育训练应以个案小区面临的真实问题为例,配合教具探讨解决问题的可行方案,目的在于透过动手做活动增进参与者解决问题的知识与技能,以提升行动的意愿与能力。
一年后的追踪访问发现,测试个案小区除了根据我们的建议做了通风及节电改善,参与的居民更主动进行建议之外的改善,可见居民已从“那是小区管委会的事”的被动心态化为主动,证实本推广模式在两个小区的运作相当成功。本推广模式已融入新北市低碳小区规划师的实际推广活动中。
影响民众推行低碳小区改造的因素,除了民众的生态环境世界观外,最重要的是经济诱因。因此建议低碳小区的推动策略应以提升民众的环境素养为优先,其次应着重于小区低碳改造的经济诱因,例如租税奖励或政策补贴等,以提高民众的行动意愿。
致谢
本研究承台湾科学委员会NSC 100-3113-S-231-001,NSC 101-3113-S-231-001,NSC 102-3113-S-231-001等计划的经费补助,特此致谢。
参考文献
[1]李士、方虹、刘春平(2011)。中国低碳经济发展研究报告。北京:科学出版社。
[2] Sung, Q.C., Lin, M.L., Shiao, K.Y., Wei, C.Y., Jan, Y.L., & Huang, L.T. (2014) Changing behaviors: Does knowledge matter? A Structural Equation Modeling study on green building literacy of undergraduates in Taiwan. Sustainable Environment Research, 24(3) (To be published in May, 2014)
[3] Sung, Q.C., Lin, M.L., Kuo, L.S., & Han, J.M. (2012, Oct.). Developing an Outreach Model for Green Renovation: An Experience in a Small Suburban Community. Paper presented at the Ireland International Conference on Education 2012, Dublin, Ireland.
(原载于《现代物业·设施管理》2013年第10期/总第272期)